Lecture Notes
Here you can find handwritten lecture notes for several lectures I attended over the last couple of years at the University of Cologne in Germany, as well as at the Perimeter Institute and the University of Alberta in Canada. Note that these lecture notes may contain typos, and if you find a particularly spectacular one, please feel free to contact me.
Overview
General Relativity and Cosmology I
Prof. Claus Kiefer, University of Cologne, winter term 2012/13, website
- 2012-10-08: Newton's concept of space and time, Newtonian gravity
- 2012-10-10: Newtonian gravity (cont'd), tidal forces
- 2012-10-15: special theory of relativity, Poincaré transformations, spacetime diagrams and relativity of simultaneity
- 2012-10-17: spacetime diagrams and relativity of simultaneity (cont'd), time dilation and Lorentz contraction, spacetime and four-vectors
- 2012-10-22: spacetime and four-vectors (cont'd), special relativistic mechanics
- 2012-10-24: special relativistic mechanics (cont'd), gravity as geometry, the twin problem in special relativity
- 2012-10-29: gravitational redshift, motion in the gravitational field, the Newtonian limit
- 2012-10-31: the Newtonian limit (cont'd), curved spaces
- 2012-11-05: differential geometry I: classical formulation, differentiable manifolds, vectors and tensors, the metric tensor
- 2012-11-07: the metric tensor (cont'd), tensor densities, Riemann normal coordinates
- 2012-11-12: tensor analysis, covariant derivative, absolute differentiation along a curve, covariant derivative of tensor densities
- 2012-11-14: tensor analysis (cont'd), the Riemann curvature tensor, the Ricci tensor, the Ricci scalar
- 2012-11-19: the Riemann curvature tensor (cont'd), further discussion of the Riemann tensor, parallel transport, geodesic deviation equation, the Weyl tensor
- 2012-11-21: the Weyl tensor (cont'd), integration
- 2012-11-26: the Lie derivative, Killing vectors, the Killing equation, Fermi-Walker transport
- 2012-11-28: Einstein's field equations and their linear approximation, the field equations, the linear approximation and the Newtonian limit
- 2012-12-03: the Newtonian limit (cont'd), derivation of the field equations from a variational principle, the contracted Bianchi identities
- 2012-12-05: Inclusion of non-gravitational fields, some important examples for the energy-momentum tensor, dust, ideal fluid, electromagnetism
- 2012-12-10: electromagnetism in curved spacetime, conservation laws
- 2012-12-12: conservation laws (cont'd), general remarks on the structure of the theory
- 2012-12-17: gravitational waves, propagation of gravitational waves
- 2012-12-19: propagation of gravitational waves (cont'd), polarization, the energy in gravitational waves
- 2013-01-07: emission of gravitational waves, dipole radiation (vanishes), quadrupole radiation
- 2013-01-09: emission of gravitational waves (cont'd), quadrupole radiation formula, example: binary system
- 2013-01-14: example: binary system (cont'd), emission in various directions, detection of gravitational waves
- 2013-01-16: differential geometry in modern formulation, tangent space, tangent vectors, differentials and cotangent space, tensor algebra and metric, exterior algebra
- 2013-01-21: exterior algebra (cont'd), exterior p-forms
- 2013-01-23: connections and Riemannian geometry, Cartan structure equations, metricity
- 2013-01-28: Cartan structure equations (cont'd), Stokes' theorem, the Schwarzschild solution
- 2013-01-30: the Schwarzschild solution (cont'd), geometry of the Schwarzschild metric
General Relativity and Cosmology II
Prof. Claus Kiefer, University of Cologne, summer term 2013, website
- 2013-04-10: classic tests of general relativity, gravitational redshift, geodesics in Schwarzschild spacetime
- 2013-04-12: geodesics in Schwarzschild spacetime (cont'd), perihelion motion of Mercury
- 2013-04-17: perihelion motion of Mercury (cont'd), deflection of light, Shapiro time delay
- 2013-04-19: Shapiro time delay (cont'd), geodetic precession
- 2013-04-24: geodetic precessions (cont'd), Thirring-Lense effect
- 2013-04-26: Thirring-Lense effect (cont'd), relativistic stars and black holes, elementary theory of degenerate stars
- 2013-05-03: elementary theory of degenerate stars (cont'd), interior solution for spherically symmetric stars
- 2013-05-08: energy density and binding energy, geometry of the Schwarzschild solution
- 2013-05-10: geometry of the Schwarzschild solution (cont'd), charged black holes (Reissner-Nordström solution)
- 2013-05-15: rotating black holes (Kerr solution)
- 2013-05-17: rotating black holes (Kerr solution) (cont'd)
- 2013-05-29: rotating black holes (Kerr solution) (cont'd), gravitational collapse on black holes
- 2013-05-31: gravitational collapse on black holes (cont'd), black holes in astrophyics
- 2013-06-07: black holes in astrophyics (cont'd), foundations of cosmology, a brief history of cosmology, structures in the universe and the cosmological principle
- 2013-06-12: spaces of constant curvature
- 2013-06-14: Robertson-Walker line element
- 2013-06-19: Friedmann-Lemaître equations, distance measures
- 2013-06-21: distance measures (cont'd), temporal evolution of the scale factor for Λ = 0
- 2013-06-26: temporal evolution of the scale factor for Λ = 0 (cont'd)
- 2013-06-28: cosmological constant and dark energy
- 2013-07-03: cosmological constant and dark energy (cont'd)
- 2013-07-05: relativistic fluid dynamics and kinematics of velocity fields
- 2013-07-10: relativistic fluid dynamics and kinematics of velocity fields (cont'd), observations
Advanced Quantum Mechanics
Prof. Achim Rosch, University of Cologne, winter term 2012/13, lecture notes as a PDF (winter term 2013/14): .pdf
- 2012-10-08: concepts of quantum mechanics, identical particles
- 2012-10-09: identical particles (cont'd), creation and annihilation operators
- 2012-10-15: operators in Fock space, basis change, field operators in real space and momentum space, single particle operators
- 2012-10-16: two particle operators, Hamiltonian with spin
- 2012-10-22: dynamics of fields, case study: Bose Einstein condensate and superfluidity
- 2012-10-23: case study: Bose Einstein condensate and superfluidity (cont'd), Bogoliubov quasi particles, superfluidity
- 2012-10-29: quantization of light, quantization in Coulomb gauge
- 2012-10-30: coherent states and classical electromagnetic fields, interactions of photons amd matter, absorption and emission in perturbation theory, decay rate of excited atoms
- 2012-11-05: decay rate of excited atoms (cont'd)
- 2012-11-06: cavity QED and Rabi oscillations
- 2012-11-12: relativistic quantum mechanics, special theory of relativity, Lorentz group
- 2012-11-13: Lorentz group (cont'd), Klein-Gordon equation
- 2012-11-19: Klein-Gordon equation (cont'd), gauge invariance, Dirac equation
- 2012-11-20: Lorentz covariance of the Dirac equation, solutions of the Dirac equation
- 2012-11-26: solutions of the Dirac equation (cont'd), interpretation of the Dirac equation
- 2012-11-27: most general solution of the Dirac equation, second quantization, the nonrelativistic limit
- 2012-12-04: the nonrelativistic limit (cont'd), outlook on QED, renormalization and regularization, scattering theory, scattering cross section
- 2012-12-10: scattering states, scattering from a central potential: phase shifts, phase shifts and cross section
- 2012-12-11: phase shifts and cross section (cont'd), scattering length, resonant scattering, example: hard sphere
- 2012-12-17: example: spherical potential well, Lippmann-Schwinger equation and Green functions
- 2012-12-18: Lippmann-Schwinger equation and Green functions (cont'd), Born series and Born approximation
- 2013-01-07: Born series and Born approximation (cont'd), optical theorem, inelastic many-particle scattering
- 2013-01-08: inelastic many-particle scattering (cont'd), standard model of particle physics, Lagrange formalism
- 2013-01-14: Lagrange formalism (cont'd), Lagrange function of QED, U(1) gauge invariance and QED
- 2013-01-15: strong interactions, quarks
- 2013-01-21: quarks (cont'd), Lagrange density for QCD, confinement and asymptotic freedom
- 2013-01-22: electroweak interactions, SU(2) gauge theory
- 2013-01-28: Higgs mechanism
- 2013-01-29: Higgs mechanism (cont'd), standard model
Quantum Field Theory I
Prof. Achim Rosch, University of Cologne, summer term 2013
- 2013-04-08: classical field theory, Lagrange formalism, functional analysis
- 2013-04-10: functional analysis (cont'd), Hamiltonian formalism, effective field theories, electrodynamics
- 2013-04-15: lattice vibrations
- 2013-04-17: Noether theorem, quantization, canonical quantization
- 2013-04-22: phonons, identical particles and second quantization, Hilbert space
- 2013-04-24: Fock space, creation & anihilation operators, operators in Fock space, field operators in real & momentum space
- 2013-04-29: field operators in real & momentum space (cont'd), single particle operators, two particle operators, Hamiltonian with spin
- 2013-05-06: dynamics of quantum fields, electrons in solids, defining a solid, Bloch theorem
- 2013-05-08: Fermi sea & Fermi surface, lattice models, Mott Hubbard transition and magnetism, Hubbard model, Heisenberg model
- 2013-05-13: Heisenberg model (cont'd), magnetism & spin waves, ferromagnet
- 2013-05-15: ferromagnet, antiferromagnet
- 2013-05-27: antiferromagnet (cont'd), path integrals, constructing path integrals
- 2013-05-29: constructing path integrals (cont'd), Gauss integrals, applications, free particle
- 2013-06-03: free particle (cont'd), statistical physics and imaginary time, imaginary time
- 2013-06-04: summation techniques, infinities, functional integrals, functional integrals and second quantization, coherent states: bosons
- 2013-06-10: coherent states: bosons (cont'd), coherent states for fermions, functional integrals for the partition sum
- 2013-06-12: functional integrals for the partition sum (cont'd), Gaussian integrals & Wick's theorem
- 2013-06-17: Green functions, definitions, free particle, Matsubara frequencies
- 2013-06-19: Matsubara frequencies (cont'd), summations, diagrammatic perturbation theory, convergence, overview of diagrammatic perturbation theory
- 2013-06-24: perturbation theory for Green functions
- 2013-06-26: perturbation theory for Green functions (cont'd), self-energy and Hartree-Fock approximation
- 2013-07-01: self-energy and Hartree-Fock approximation (cont'd), retarded Green's function and Lehmann representation
- 2013-07-03: retarded Green's function and Lehmann representation (cont'd), quasi particles
- 2013-07-08: quasi-particles (cont'd)
- 2013-07-10: resummation methods, screening, plasma & Friedel oscillations
- 2013-07-15: screening, plasma & Friedel oscillations (cont'd), ladder approximation & Bethe-Salpeter equation
- 2013-07-17: ladder approximation & Bethe-Salpeter equation (cont'd), controlled approximations
Quantum Field Theory in Curved Spacetime
Prof. Claus Kiefer, University of Cologne, summer term 2013, website
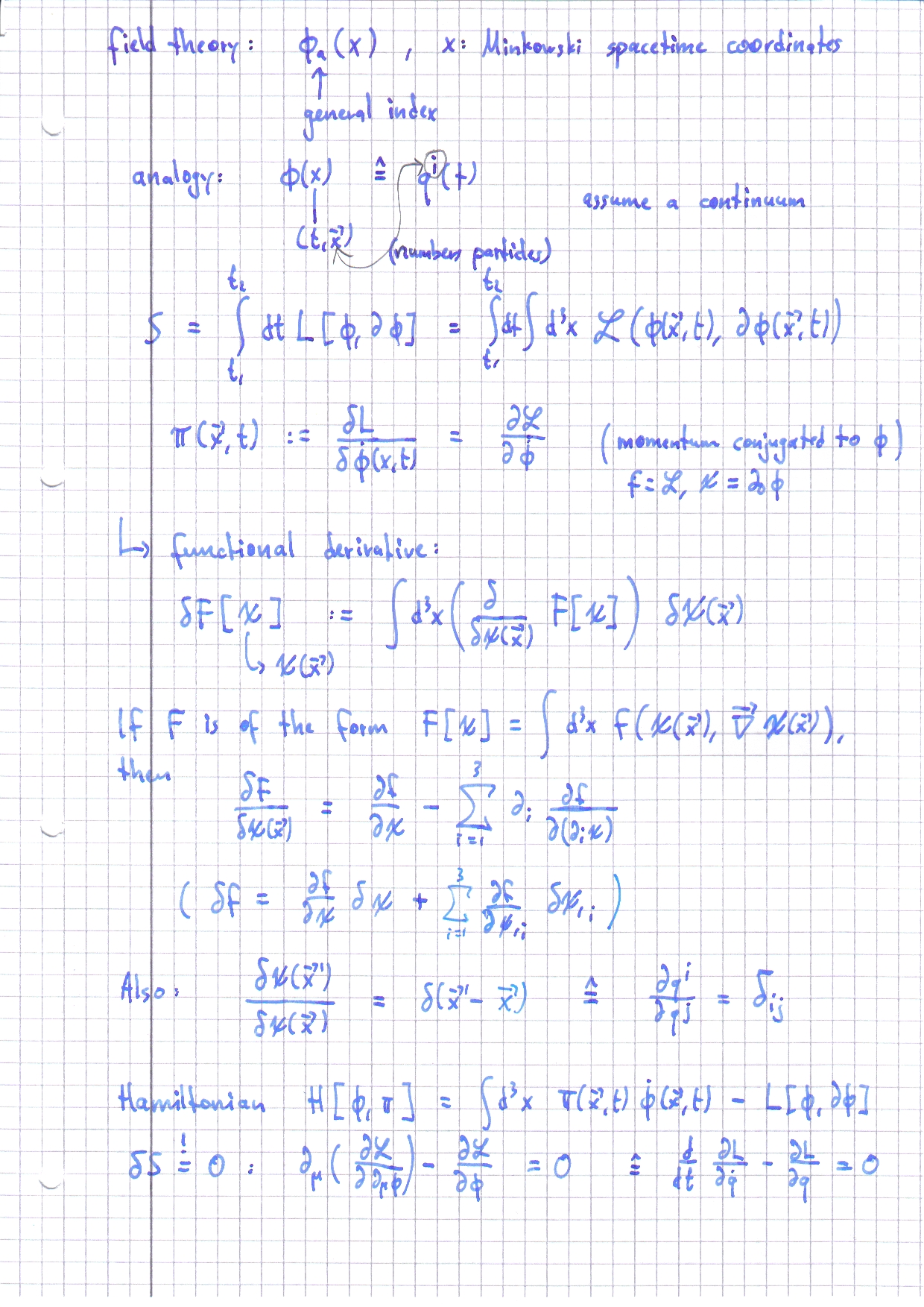
- 2013-04-08: introduction, quantum fields in Minkowski spacetime, canonical formulation
- 2013-04-15: canonical formulation (cont'd), "particles"
- 2013-04-22: "particles" (cont'd)
- 2013-04-29: vacuum energy, other fields
- 2013-05-06: other fields (cont'd), basics of quantum fields in curved spacetime, canonical quantization and conservation laws
- 2013-05-13: scalar field, cosmological model: arbitrary asymptotically static time dependence, particle creation in a dynamic universe
- 2013-05-27: statistics from dynamics: spin 0, conformally invariant non-interacting field, probability distribution of created particles
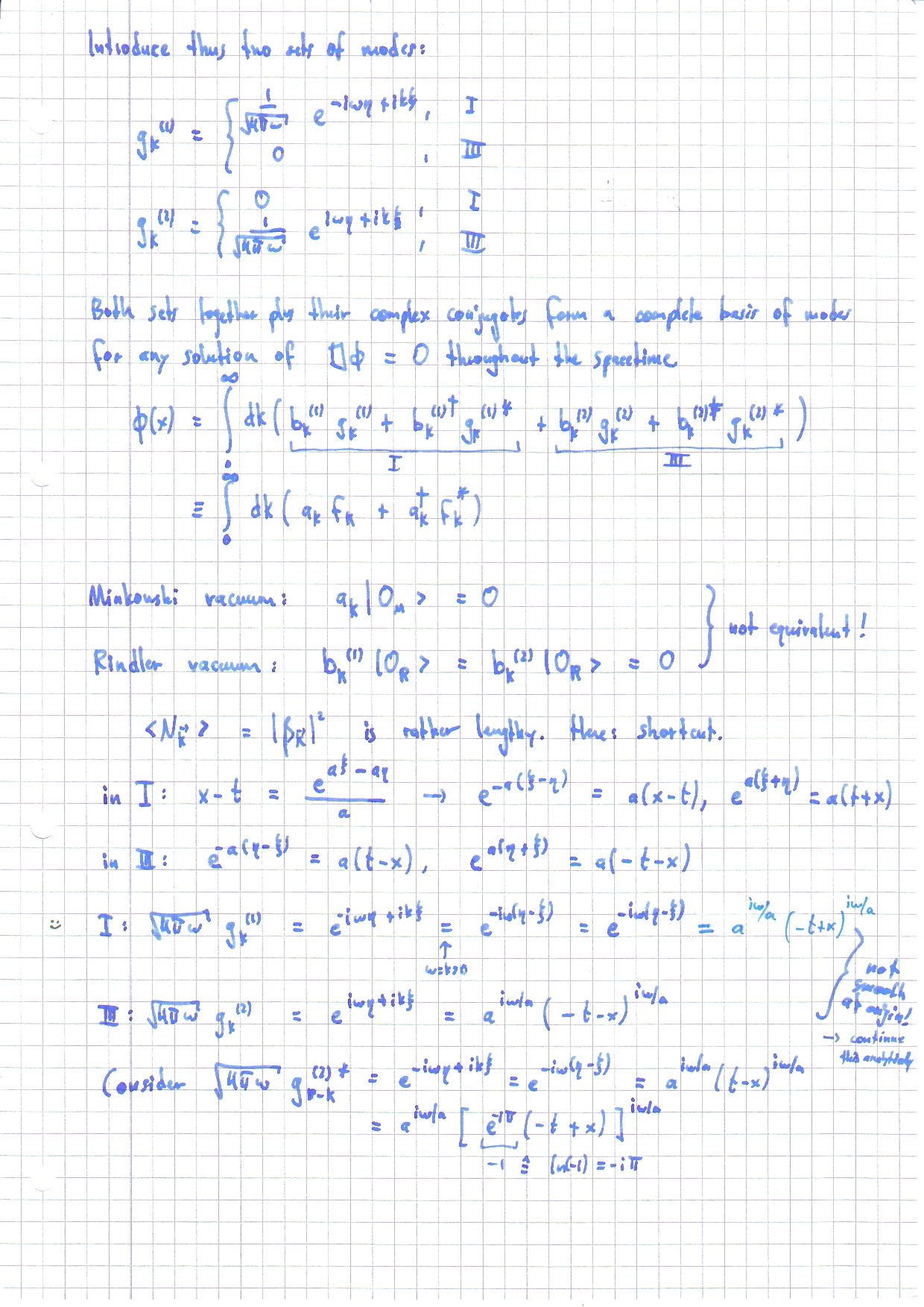
- 2013-06-03: probability distribution of created particles (cont'd), exact solution with particle creation, accelerated observers in Minkowski spacetime
- 2013-06-10: quantum fluctuations in the early Universe, de Sitter spacetime
- 2013-06-17: de Sitter spacetime (cont'd), quantum fluctuations and early inflation
- 2013-07-01: quantum fluctuations and early inflation (cont'd), expectation values quadratic in fields, adiabatic subtraction and physical quantities
- 2013-07-02: adiabatic subtraction and physical quantities (cont'd), renormalization in general spacetimes
- 2013-07-08: particle creation by black holes
Quantum Gravity
Prof. Claus Kiefer, University of Cologne, winter term 2013/14, website
- 2014-04-07: introduction, why quantum gravity, quantum theory and the gravitational field
- 2014-04-14: quantum theory and the gravitational field (cont'd), problems with a fundamental semiclassical theory
-
2014-04-28: will be updated shortly
- ...
- 2014-05-05: covariant quantization (cont'd)
-
2014-05-12: path integral quantization
- ...
- 2014-05-19: path integral quantization (cont'd), parametrized & relational systems, parametrized non-relativistic particle
- 2014-05-26: the relativistic particle, the bosonic string
- 2014-06-03: parametrized field theory, the Hamiltonian (canonical) formulation of General Relativity
- 2014-06-16: the Hamiltonian (canonical) formulation of General Relativity (cont'd)
- 2014-06-23: the semiclassical approximation to quantum geometrodynamics
- 2014-06-30: loop quantum gravity
- 2014-07-07: loop quantum gravity (cont'd), quantum cosmology
- 2014-07-14: quantum cosmology (cont'd), quantization of black holes
The Early Universe
Prof. Claus Kiefer, University of Cologne, winter term 2014/15, website
- 2014-10-06: homogeneous isotropic universe, expanding universe, cosmological principle, Friedmann-Lemaitre equations
- 2014-10-13: Friedmann-Lemaitre equations (cont'd), temporal evolution of the scale factor
- 2014-10-20: Milne universe, de Sitter universe
- 2014-10-27: light propagation and horizons
- 2014-11-03: cosmological constant and dark energy, the hot universe, cosmological phases, thermal history of the Universe
- 2014-11-17: thermal history of the Universe (cont'd), nucleosynthesis
- 2014-11-24: nucleosynthesis (cont'd), decoupling of photons and recombination, baryogenesis
- 2014-12-01: baryogenesis (cont'd), inflation (the homogeneous situation), the problem of initial conditions
- 2014-12-08: the problem of initial conditions (cont'd), scenarios of inflation
- 2015-01-12: scenarios of inflation (cont'd)
- 2015-01-19: scenarios of inflation (cont'd), the inhomogeneous universe, gravitational instability in Newtonian theory, basic equations, Jeans theory
- 2015-01-26: instability in an expanding universe, gravitational instability in general relativity, perturbations and gauge-invariant variables
- 2015-02-02: Perturbations and gauge-invariant variables (cont'd), equations for cosmological perturbations, inflation II: quantum origin of primordial fluctuations
Foundations of Quantum Theory
Prof. Claus Kiefer, University of Cologne, winter term 2014/15, website
- 2014-10-08: introduction and literature, the formalism of quantum theory, the fundamental rules of quantum theory, the superposition principle
- 2014-10-15: the superposition principle (cont'd), probability interpretation and Hilbert space formalism
- 2014-10-22: entanglement, composed systems and density matrices, reduced density matrix
- 2014-10-29: the measurement problem
- 2014-11-05: quantum theory and the elements of reality, Copenhagen interpretation, Einstein–Podolsky–Rosen and the completeness of quantum theory, the de Broglie–Bohm interpretation
- 2014-11-12: the de Broglie–Bohm interpretation (cont'd), Everett or "many worlds" interpretation
- 2014-11-19: Bell inequalities
- 2014-11-26: Bell inequalities (cont'd), decoherence and the emergence of classical properties in quantum theory, general idea and formalism
- 2014-12-03: general idea and formalism (cont'd), localization of objects
- 2014-12-10: localization of objects (cont'd)
- 2015-01-07: localization of objects (cont'd), decoherence and dissipation
- 2015-01-14: decoherence and dissipation (cont'd), experiments for decoherence
- 2015-01-21: quantum computers, introduction, decoherence and quantum error correction
- 2015-01-28: decoherence and the interpretation of quantum theory, Copenhagen interpretation, Everett interpretation ("relative-state interpretation"), Bohm interpretation, collapse theories
- 2015-01-28: collapse theories (cont'd), the role of the observer, discussion
Classical Mechanics
Prof. David Kubiznak, Perimeter Institute, winter term 2015/16
- 2015-08-18: Lagrangian mechanics, Hamilton's principle of least action, integrals of motion, Noether's theorem, manifolds and tensors
- 2015-08-19: manifolds and tensors (cont'd), Lie derivative
- 2015-08-20: Lie derivative (cont'd), differential forms, Cartan's lemma, integration, geometric formulation of Lagrangian mechanics
- 2015-08-21: geometric formulation of Lagrangian mechanics (cont'd), Hamiltonian mechanics, Hamilton's canonical equations, Poisson brackets, canonical transformations, Liouville's theorem
- 2015-08-25: Hamilton–Jacobi theory, symplectic geometry, Liouville's theorem, Darboux theorem
- 2015-08-26: symplectic geometry (cont'd), Hamiltonian mechanics, Cartan 1-form, Noether's theorem, Kepler problem, Nambu mechanics
- 2015-08-27: contact geometry, extended phase space, Hamilton–Jacobi theory revised, summary
Group Theory
Dr. Gang Xu, Perimeter Institute, winter term 2015/16
- 2015-08-28: visualizations of finite groups, Cayley diagrams
- 2015-08-29: introduction to Lie groups, group representations
- 2015-09-01: structure of Lie groups
- 2015-09-02: everything about SU(2), Casimir operators, Cartan subalgebra
- 2015-09-03: classification of semi-simple Lie algebras, Dynkin diagrams
General Relativity
Prof. Neil Turok, Perimeter Institute, winter term 2015/16
- 2015-09-08: special relativity, Lorentz transformations
- 2015-09-09: Lorentz transformations (cont'd), energy and momentum of an electromagnetic field, equivalence principle
- 2015-09-10: equivalence principle (cont'd), motion of a test particle in a gravitational and electromagnetic field
- 2015-09-11: Riemann normal coordinates
- 2015-09-14: differential geometry, geodesic equation, connection and covariant derivative
- 2015-09-15: geometric meaning of the covariant derivative, from the connection to curvature
- 2015-09-16: curvature, Newtonian limit, Einstein's field equations
- 2015-09-17: Einstein's field equations (cont'd), solutions
- 2015-09-18: gravitational waves, TT gauge, gravitational radiation
- 2015-09-21: gravitational radiation (cont'd), energy momentum of gravitational waves, energy emitted as gravitational waves
- 2015-09-22: the Schwarzschild solution
- 2015-09-23: gravitational waves in locally inertial coordinates, particle in the Schwarzschild geometry, perihelion shift
- 2015-09-24: Kruskal extension of the Schwarzschild metric
- 2015-09-25: Hawking temperature, variational principle for General Relativity, meaning of the Einstein equations (Feynman)
Quantum Theory
Prof. Joseph Emerson, Perimeter Institute, winter term 2015/16
- ...
Quantum Field Theory I
Dr. Dan Wohns & Dr. Tibra Ali, Perimeter Institute, winter term 2015/16
- 2015-10-13: introduction, classical field theory, Klein–Gordon theory, Noether theorem, Hamiltonian formalism, solution of the Klein–Gordon equation
- 2015-10-14: canonical quantization, states, particles, Fock space, propagators and causality, Green's function
- 2015-10-15: LSZ reduction formula, interacting theory
- 2015-10-16: Schrödinger, Heisenberg, and interaction picture, vacuum in interacting theory, Wick's theorem
- 2015-10-19: Feynman diagrams, Feynman rules for n-point function and scattering amplitude, φ4 theory
- 2015-10-20: cross sections and decay rate, scalar meson-nucleon theory, crossing symmetry
- 2015-10-21: introduction to loops, resummation, self-energy, Källen–Lehmann spectral representation, aspects of renormalization
- 2015-10-22: spinors, Lorentz algebra, finite and infinite-dimensional representations, Weyl/chiral basis
- 2015-10-23: Lagrangians for spinors, scalars, pseudoscalars, parity, Dirac Lagrangian, Dirac, Weyl, and Majorana spinors
- 2015-10-26: classical Dirac equation, symmetries in Dirac and Weyl theory, quantization of spinors, causality and Feynman propagator
- 2015-10-27: causality and Feynman propagator (cont'd), Yukawa theory, LSZ formula and Wick's theorem for fermions, momentum space Feynman rules
- 2015-10-28: electromagnetism, quantization of the electromagnetic field
- 2015-10-29: quantization of the electromagnetic field (cont'd), quantum electrodynamics, scalar QED, Feynman rules for QED
- 2015-10-30: electron muon decay in QED, crossing symmetry revisited, polarization sums, Compton scattering
- 2015-11-30: renormalization of QED, one-particle irreducible diagrams, diverging diagrams in QED, regularization
- 2015-12-01: QED Lagrangian in d dimensions, dimensional regularization, β function of QED
- 2015-12-02: anomalous magnetic moment of the electron (g-2), IR divergences
- 2015-12-03: IR divergences in e+e- → μ+μ- scattering
Statistical Mechanics
Prof. Baskaran Ganapathy, Dr. David Kubiznak, Perimeter Institute, winter term 2015/16
- 2015-10-13:
- 2015-10-14:
- 2015-10-15:
- 2015-10-16:
- 2015-10-19: phase transitions and critical phenomena, Ising model in 1D and 2D, spin-spin correlation functions, mean-field theory and consistency conditions, lattice propagator, quantum order
- 2015-10-20: Bose–Einstein condensate, 2D Ising model and transfer matrix method, Jordan–Wigner transformation
- 2015-10-21: infinite range interaction 2D Ising model, scaling hypothesis
- 2015-10-22: Landau theory and Higgs mechanism, order parameters, second order phase transitions
- 2015-10-28: renormalization, from the Ising model to φ4 field theory, dimensional analysis
- 2015-10-29: dimensional analysis (cont'd), Wilson momentum space renormalization
- 2015-10-30: Wilson momentum space renormalization (cont'd), β function and fixed points, critical exponents
Quantum Field Theory II
Prof. Francois David, Perimeter Institute, winter term 2015/16
- 2015-11-09: path integrals in quantum mechanics, partition function, imaginary time
- 2015-11-10: operators and correlation functions in the path integral formalism, correlation functions in Euclidean time
- 2015-11-11: path integral quantization of the Klein–Gordon field, correlation function
- 2015-11-12: generating functional, dictionary QFT ⇄ statistical mechanics, φ4 theory, Wick theorem, diagrammatic perturbation theory
- 2015-11-13: correlation function in diagrammatic pertubation theory, generating functionals, irreducible diagrams
- 2015-11-16: saddle point approximation of the effective action, φ4 theory, regularization, effective mass
- 2015-11-17: renormalization of massless φ4 theory to 1-loop, renormalization scale, β function
- 2015-11-18: renormalization of massless φ4 theory to 1-loop (cont'd), renormalization of massive φ4 theory, comparison to Wilson renormalization in statistical mechanics
- 2015-11-19: Wilsonian renormalization and beta function of φ4 theory to 1-loop
- 2015-11-20: asymptotic "slavery" of φ4, introduction to fermionic path integrals, Grassmann algebra, Berezin integration
- 2015-11-23: functional integration for Dirac fermions, introduction to non-Abelian gauge theories
- 2015-11-24: introduction to non-Abelian gauge theories (cont'd), SU(2) Yang–Mills theory, covariant derivative, field strength, Yang–Mills action, minimally coupled Dirac Lagrangian
- 2015-11-25: field equations and conservation laws, path integral quantization, gauge fixing, introduction to Faddeev–Popov procedure
- 2015-11-26: gauge fixing (cont'd): Faddeev–Popov ghosts, Fadeev–Popov determinant, SU(2) diagrammatics
- 2015-11-27: Feynman rules for SU(2) Yang–Mills theory, UV divergences, renormalization
Condensed Matter
Prof. Oleg Tchernyshyov, Dr. Denis Dalidovich, Perimeter Institute, winter term 2015/16
- 2015-11-09: crystal in 1D, crystals in higher dimensions, continuum limit, quantization of vibrations (phonons)
- 2015-11-10: Heisenberg ferromagnet, Lagrangian of a ferromagnet, Dirac string
- 2015-11-11: solitons in ferromagnets
- 2015-11-12: antiferromagnets, Lagrangian for an isotropic antiferromagnet, spin waves, solitons
- 2015-11-13: electrons in a periodic lattice, energy gaps, reciprocal lattice
- 2015-11-16: coherent states for bosons, Grassmann variables, Gaussian integration over Grassmann variables
- 2015-11-17: averages of Grassmann variables with Gaussian weight and Wick's theorem, coherent states for fermions, comparison bosons vs. fermions, partition function
- 2015-11-18: partition function (cont'd), Matsubara frequencies, partition function for the free Fermi gas, evaluation of Matsubara summations, density of states
- 2015-11-19: interacting gas of fermions, quasi-particles, Hartree & Fock diagrams, momentum space Feynman rules for the Green's function, self-energy, quasi-particle spectrum
- 2015-11-20: self-energy (cont'd), quasi-particle spectrum (cont'd), Fermi liquid, introduction to superconductivity, Cooper pairs
- 2015-11-23: superfluidity, field theory of an ideal Bose gas, canonical quantization, interacting Bose gas
- 2015-11-24: vortices in a superfluid, energy of a vortex, interaction between vortices
- 2015-11-25: superconductors, expulsion of magnetic fields, quantization of magnetic flux, killing superconductivity with a magnetic field
- 2015-11-26: vortices in superconductors
- 2015-11-27: quantum Hall effect
Introduction to Conformal Field Theory
Dr. Gang Xu, Perimeter Institute, winter term 2015/16
- 2015-11-30: conformal transformations, generators and Lie algebra
- 2015-12-01: 2D conformal field theory, Witt algebra, relation to field theory, primary fields, correlation functions
- 2015-12-02: operator product expansion, Virasoro algebra, central charge
- 2015-12-03: descendants, n-point functions, conformal Ward identity, unitarity
Gravitational Physics
Prof. Dr. Ruth Gregory, Perimeter Institute, summer term 2016
- 2016-01-04: introduction to differential geometry
- 2016-01-05: exterior derivative and forms
- 2016-01-06: Lie derivative and covariant derivative
- 2016-01-07: Cartan formalism
- 2016-01-08: black holes, Penrose–Carter diagrams
- 2016-01-11: Kerr black holes
- 2016-01-12: Einstein gravity and its variational derivation, domain walls (brane world)
- 2016-01-13: geometry of submanifolds, Gauss–Codazzi formalism, Gibbons–Hawking boundary term
- 2016-01-14: black hole thermodynamics, Euclidean partition function, temperature and entropy
- 2016-01-15: higher-dimensional Einstein gravity, black strings, black branes
- 2016-01-18: Kaluza–Klein theory, black hole solutions in Kaluza–Klein theory, extremal limit
- 2016-01-19: Kaluza–Klein monopole, stability of the black string, tensorial perturbations
- 2016-01-20: hierarchy and warped extra dimensions, Randall–Sundrum solution, domain wall in AdS
- 2016-01-21: gravitational instantons, false vacuum decay, Coleman-de Luccia instanton, instability of Higgs vacuum
- 2016-01-22: gauge and gravitational waves, AdS/CFT correspondence
The Standard Model of Particle Physics
Prof. Dr. Sean Tulin, Perimeter Institute, summer term 2016
- 2016-01-04: overview of the standard model of particle physics
- 2016-01-05: massive photon, spontaneous symmetry breaking, Higgs mechanism
- 2016-01-06: Abelian Higgs model, generation of fermion masses, renormalizability
- 2016-01-07: non-Abelian Higgs model, the Lagrangian of the Standard Model
- 2016-01-08: the Lagrangian of the Standard Model (cont'd), fermion masses and Yukawa interactions
- 2016-01-11: Yukawa interactions (cont'd), mass eigenstates and electroweak mixing of flavours, CKM matrix, effective weak interaction (Fermi theory)
- 2016-01-13: parameters of the standard model, deep inelastic scattering, hadronization, factorization, parton model, Bjorken scaling, parton distribution functions
- 2016-01-14: deep inelastic scattering (cont'd), parton distribution function, brief history of the standard model (weak interactions), Higgs decay and production, tree-level decays, loop decays
- 2016-01-15: Higgs loop decay hgg (cont'd), Higgs low energy theorem
- 2016-01-18: Higgs low energy theorem (cont'd), Higgs production at hadron colliders
- 2016-01-19: Higgs production (cont'd), hadron spectroscopy and group theory, the eightfold way
- 2016-01-20: the eightfold way (cont'd), approximate symmetries of the strong interaction, Young tableaux and irreducible representations
- 2016-01-21: SU(3)flavor symmetry and SU(3) breaking, effective meson Lagrangian, spurion, flavor physics
- 2016-01-22: neutrino masses, grand unification, dark matter
Cosmology
Prof. Dr. David Kubiznak, Perimeter Institute, summer term 2016
- 2016-02-01: maximally symmetric space(time)s, Killing vectors, Maxwell equation in curved spacetime
- 2016-02-02: FLRW spacetime, motion of test particles
- 2016-02-03: horizons, Friedmann equations, cosmic inventory, ΛCDM model of cosmology
- 2016-02-04: temporal evolution of the scale factor, brief thermal history, thermodynamics in the expanding universe, distribution function
- 2016-02-05: thermodynamics in the expanding universe (cont'd), decoupling and freeze-out, chemical potentials, big bang nucleosynthesis
- 2016-02-08: big bang nucleosynthesis (cont'd), cosmic microwave background (CMB), anisotropies, power spectrum
- 2016-02-09: dark matter, MACHOs, WIMPs, thermal vs non-thermal relic, dark energy
- 2016-02-10: dark energy (cont'd), cosmological constant problem, inflation, Hubble radius
- 2016-02-11: inflation (cont'd), solution of the horizon, flatness, and monopole problems, infationary parameters, single field slow-roll inflation
- 2016-02-12: single field slow-roll inflation (cont'd), fluctuations, CMB power spectrum, cosmic variance
- 2016-02-16: polarization of the CMB, scalar-vector-tensor decomposition (SVT), tensorial spherical harmonics, B modes, inflation as a generator of perturbations
- 2016-02-17: quantization of the time-dependent harmonic oscillator, Bogolubov transformation, in/out states, particle creation
- 2016-02-18: quantization of a scalar test field in FLRW background, power spectrum, spectral index
- 2016-02-19: cosmological perturbation theory, scalar and tensorial spectral index, tensor-to-scalar ratios, parameters of the ΛCDM model
Beyond the Standard Model
Prof. Dr. David Morrissey, Perimeter Institute, summer term 2016
- 2016-02-22: standard model and gravity, electroweak hierarchy problem, dark energy and dark matter in cosmology
- 2016-02-23: shortcomings of the standard model (cont'd), dimensional analysis, irrelevant couplings, renormalization, counter terms
- 2016-02-24: renormalization (cont'd), power counting arguments, effective field theory
- 2016-02-25: effective field theory (cont'd), symmetry breaking, spurions
- 2016-02-26: effective field theory at loop level, problem of naturalness (scalar case), motivation of supersymmetry, representation of groups, Poincaré group
- 2016-02-29: Weyl spinors and index notation, kinetic terms, mass terms
- 2016-03-01: Weyl spinors (cont'd), relation to Dirac spinors, supersymmetry (SUSY), chiral multiplet, superpotential and superfields, Wess–Zumino model, vector multiplet
- 2016-03-02: soft breaking of SUSY, embedding the standard model in SUSY, superpotential of the minimally supersymmetric standard model
- 2016-03-03: minimally supersymmetric standard model (cont'd), SUSY electroweak symmetry breaking and SUSY Higgs mechanism, SUSY breaking by gravity, gauge, and anomaly mediation
- 2016-03-04: signature of SUSY in particle detectors, strong dynamics, effective low-energy theory of QCD
- 2016-03-07: effective low-energy theory of QCD (cont'd), pions as Goldstone bosons of approximate flavor symmetry
- 2016-03-08: beyond chiral perturbation theory, R ratio, technicolor, composite Higgs
- 2016-03-09: extra dimensions, quantum fields in extra dimensions, Kaluza–Klein towers, large extra dimensions
- 2016-03-10: observational signature of large extra dimensions, Randall–Sundrum model, warping and the Higgs, Kaluza–Klein excitations and fields in the bulk,
- 2016-03-11: Randall–Sundrum model (cont'd), gauge bosons, gravitons, chiral fermions, minimal and non-minimal Randall–Sundrum model, embedding the standard model, observational signatures
Loop Quantum Gravity
Dr. Maïté Dupuis, Perimeter Institute, summer term 2016
- 2016-02-22: why quantum gravity
- 2016-02-23: action principle in GR, 3D gravity, triads and the spin connection
- 2016-02-24: curvature, Palatini action, global and local symmetries
- 2016-02-25: symmetries of the first order action, canonical analysis, canonical description of 3D gravity in vacuum
- 2016-02-26: canonical description of 3D gravity in vaccum (cont'd), canonical variables, smeared out constraints, constraint algebra, Dirac hypersurface deformation algebra
- 2016-02-29: quantization of gauge systems, parametrized non-relativistic particle, Dirac quantization procedure
- 2016-03-01: quantum geometry, holonomy & flux
- 2016-03-02: Poisson algebra of holonomy & flux, graphs
- 2016-03-03: flatness constraint
- 2016-03-04: quantization of an edge, kinematic Hilbert space, inner product, Peter–Weyl theorem
- 2016-03-07: quantization of an edge, implementation of the Gauss constraint, Wigner symbols
- 2016-03-08: implementation of the flatness constraint
- 2016-03-09: discrete area spectrum, canonical approach in 4D, Ashtekar variables, Ashtekar–Barbero connection, constraint algebra
- 2016-03-10: loop quantum gravity in 4D (cont'd), Gauss constraint, vector and Hamiltonian constraint, spin foam approach, 3D Ponzano–Regge model, spin foams in 4D
- 2016-03-11: Barbero–Immirzi parameter and self-dual formulation of loop quantum gravity, BF theory
Explorations in Particle Physics
Prof. Cliff Burgess, Perimeter Institute, summer term 2016
- 2016-04-11: what is wrong with the standard model, evidence for dark matter (galactic rotation curves, galaxy clusters, weak lensing), Tully–Fisher relation
- 2016-04-12: evidence for dark matter, review of hot big bang cosmology
- 2016-04-13: evidence for dark matter from cosmology, matter perturbations in FLRW background, Jeans instability
- 2016-04-14: evidence for dark matter from cosmology (cont'd), structure formation and matter perturbations, CMB power spectrum, modified gravity (MOND)
- 2016-04-15: modified gravity (MOND), non-relativistic and relativistic action, particle dark matter
- 2016-04-18: thermodynamics in the expanding universe, equilibrium conditions
- 2016-04-19: equilibrium conditions (cont'd), densities in real space and phase space, Boltzmann equation in an FLRW universe
- 2016-04-20: Boltzmann equation, transition out of equilibrium and freeze-out, WIMP miracle
- 2016-04-21: evidence for dark energy, distance-redshift relation, ΛCDM concordance cosmology
- 2016-04-22: evidence for dark energy (cont'd), calculation of vacuum energy, UV vs IR divergences, power-counting renormalizability
- 2016-04-25: notes on regularization and anomalies, effective field theories, effective action
- 2016-04-26: effective field theory, Wilson action
- 2016-04-27: emergence of locality in effective field theory, vacuum energy and the technical naturalness criterion, hierarchy problem
- 2016-04-28: power counting with the Wilson action
- 2016-04-29: primordial fluctuations as vacuum fluctuations, power spectrum
Explorations in Cosmology
Dr. Kendrick Smith, Perimeter Institute, summer term 2016
- 2016-04-11: parameters of the standard cosmological model, FLRW
- 2016-04-12: initial perturbations, random fields
- 2016-04-13: random fields (cont'd), power spectrum, scale invariance
- 2016-04-14: overview over different perturbations, general perturbations of FLRW metric and energy-momentum tensor
- 2016-04-15: Einstein field equations in perturbed background, integration by parts in General Relativity, inflation
- 2016-04-18: single field slow-roll inflation, FLRW + scalar field background, time-dependent harmonic oscillator in quantum mechanics, scalar test field on dS background
- 2016-04-19: scalar test field on dS background (cont'd), Bunch–Davies vacuum, scale-invariant late time power spectrum, quantum nature of fluctuations
- 2016-04-20: scalar test field on FLRW background, single field inflation, first order perturbation theory, gauge fixing
- 2016-04-21: gauge fixing (cont'd), spatially flat gauge and unitary gauge, Einstein equations in spatially flat gauge, tensorial power spectrum
- 2016-04-22: test scalar in FLRW background, inflation in spatially flat gauge, relation to unitary gauge, Weinberg theorem, phenomenology, amplitude and tilt
- 2016-04-25: observables for single field slow-roll inflation
- 2016-04-26: covariant energy-momentum and number density evaluated along worldlines, post-inflationary universe
- 2016-04-27: Thomson scattering in the expanding universe, Einstein equation and fluid equations of motion in Newtonian gauge
- 2016-04-28: late time behaviour of baryons and cold dark matter, growth function, transfer function, Weinberg's theorem and adiabatic modes, check for perfect fluid and single field inflation
- 2016-04-29: transfer function and Weinberg's theorem
Advanced Quantum Mechanics
Prof. Massimo Boninsegni, University of Alberta, fall term 2016
- 2016-09-01: introduction, literature
- 2016-09-08: Lagrangian mechanics
- 2016-09-12: double slit experiment as a motivation for the path integral principle
- 2016-09-15: evaluation of the propagator for a general time-dependent quadratic Lagrangian, fluctuation factor, free particle propagator, formal discrete definition of the path integral
- 2016-09-19: free particle propagator (cont'd), relation between wave function and propagator, validity of classical description
- 2016-09-22: propagator of 1D harmonic oscillator, spectral representation, eigenfunctions and eigenenergies, harmonic approximation
- 2016-09-26: particle in 1D potential well, particle in a 1D potential barrier, method of forbidden paths, eigenvalues and eigenfunctions from spectral decomposition,
- 2016-09-29: semiclassical approaches, potential barrier, complex time, imaginary time propagator, Feynman–Kac formula, cumulant expansion, penetration into a barrier
- 2016-10-03: imaginary time propagators, approximation of steepest descent, fluctuation factor in imaginary time and semiclassical approximation, anharmonic oscillator, double well potential
- 2016-10-06: double well potential (cont'd), lifting of classical degeneracy (non-perturbative), instantons, instanton gas approximation
- 2016-10-13: charged particle in a magnetic field, Aharonov–Bohm phase, magnetic monopoles and charge quantization, gravity-induced quantum interference
- 2016-10-17: connection between propagator and wave function formalism, conservation of probability, time-independent potentials, Green's functions, Green's function for a free particle
- 2016-10-24: perturbation theory, time-ordering, Dyson equation
- 2016-10-31: scattering, differential cross section, Born approximation
- 2016-11-03: wave function treatment of scattering, attractive square well, transition amplitude, first-order transitions
- 2016-11-14: transition amplitudes (cont'd), transition amplitudes in scattering, harmonic perturbations, polarization of the hydrogen atom in an external electric field
- 2016-11-17: interaction of charged particles with the classical electromagnetic field, adiabatic switching-on, lifetime of states
- 2016-11-21: quantum mechanics at finite temperature, unpolarized light, ergodic hypothesis, basic definitions
- 2016-11-24: quantum statistical mechanics in the path integral formalism, free particle density matrix, 1D system withs with many particles, Wigner&ndas;Kirkwood expansion, indistinguishable particles
- 2016-11-28: indistinguishable particles (cont'd), 1D systems, indistinguishablity, and boson enhancement
- 2016-12-01: spin and path integrals, classical formulation, coherent state overcomplete basis for path integrals
Black Hole Physics
Prof. Valeri P. Frolov, University of Alberta, spring term 2017 (photos of my whiteboard notes after classes)
- 2017-01-12: introduction, Pfaffian (unrelated)
- 2017-01-17: stellar mass black holes
- 2017-01-24: mass function of a binary system, accelerated frames
- 2017-01-26: accelerated frames (cont'd), affine parameter, Lagrangian vs. Hamiltonian mechanics
- 2017-01-31: Lagrangian vs. Hamiltonian mechanics (cont'd), phase space, symplectic structure, how to describe a physical system
- 2017-02-02: Liouville integrability, Lagrangian submanifolds
- 2017-02-07: Hamilton–Jacobi equation
- 2017-02-07: Hamilton–Jacobi equation
- 2017-02-09: relativistic particle in curved spacetime
- 2017-02-14: explicit and hidden symmetries
- 2017-02-16: Einstein equations, reduced Einstein–Hilbert action
- 2017-02-28: reduced Einstein–Hilbert action (cont'd), Birkhoff's theorem, Schwarzschild photon sphere
- 2017-03-02: particle motion in the Schwarzschild geometry, conformal transformations and photon sphere
- 2017-03-07: photon sphere (cont'd), innermost stable circular orbit (ISCO)
- 2017-03-09: Kerr solution, ergosphere, event horizon as a Killing horizon
- 2017-03-14: Kerr solution, surface gravity, Killing horizons
- 2017-03-16: equatorial motion in the Kerr geometry, innermost stable circular orbit
- 2017-03-21: black hole shadow
- 2017-03-23: speeding-up mechanism of black holes
Condensed Matter Theory
Dr. Rufus Boyack, University of Alberta, spring term 2018
- 2018-01-31: functional integration, review of Gaussian integrals
- 2018-02-07: review of Gaussian integrals (cont'd), Grassmann numbers & Grassmann integrals
- 2018-02-14: coherent state functional path integral for bosons and fermions
- 2018-02-21: functional integral for the quantum partition function, Matsubara summation
- 2018-02-28: Hubbard–Stratonovich transformation, Nambu Green function, saddle point / mean-field approximation
Asymptotic Symmetries I
Dr. Hadi Godazgar (Albert Einstein Institute, Potsdam, Germany), 25th Saalburg summer school in Heigenbrücken
- 2019-09-02: Penrose diagrams, asymptotic flatness, Noether's theorem, electromagnetism
- 2019-09-03: asymptotic symmetries, proper and large gauge transformations, asymptotic charges
- 2019-09-06: asymptotic charges (cont'd), soft theorem, Komar mass
- 2019-09-07: ADM mass, Bondi metric, Bondi mass aspect, BMS group and BMS charges
Asymptotic Symmetries II
Prof. Malcolm Perry (DAMTP, University of Cambridge, UK), 25th Saalburg summer school in Heigenbrücken
- 2019-09-10: Minkowski space, observers in Minkowski space, black holes, Raychaudhuri equation, trapped surfaces, singularity theorems, no-hair theorems
- 2019-09-11: no-hair theorems (cont'd), black hole uniqueness theorems, Kerr–Newman spacetime, Penrose diagrams, black hole thermodynamics
- 2019-09-12: black hole thermodynamics (cont'd), Hawking temperature, surface gravity, black hole information loss paradox, Gauß–Codazzi review, Euclidean trick, Euclidean action, Brown–York stress tensor, asymptotic charges, supertranslations, superrotations, entropy from soft charges
- 2019-09-13: covariant phase space formalism, Kerr/CFT correspondence, status of the black hole information loss paradox
Hamiltonian General Relativity
Prof. Domenico Giulini (University of Hanover, Germany), 25th Saalburg summer school in Heigenbrücken
- 2019-09-03: geometric interpretation of curvature via sectional curvatures, torsion, Einstein equation
- 2019-09-05: Gauß–Codazzi equations, Hamiltonian constraint, diffeomorphism constraint, evolution equations
- 2019-09-06: Cauchy problem, role of boundary terms
- 2019-09-07: constraint algebra, foliation conditions, initial conditions for black hole mergers